
PHA biomaterials is a generous gift from nature
Product overview
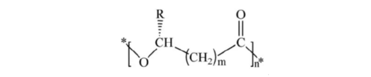
PHA (Polyhydroxyalkanoates) is a polymer biomaterial found in microbial cells such as bacterial cells (similar to bacterial fat).PHA is not only the product of bacteria when the growth conditions are unbalanced, but also the carbon source and energy storage substance in microorganisms.PHA is a polymer consisting of 100-3000 identical or different hydroxyl fatty acid monomers, most of which are 3-hydroxyl fatty acids with chain lengths of 3-14 carbon atoms, and side chains are highly variable aromatic or aliphatic groups.

The latest research shows that there are more than 150 kinds of PHA monomers, which constitute a huge polymer family.The rich and varied material properties and environmentally friendly degradability make it one of the polymers that replace traditional petrochemical plastic products.
PHA Natural Low Carbon Cycle Concept Animation
At present, a total of four types of PHA have been industrialization, including polyhydroxybutyrate (PHB), 3-hydroxybutyrate 3-hydroxyvalerate copolyester (PHBV), 3-hydroxybutyrate 3-hydroxycaproate copolyester (PHBHHx) and 3-hydroxybutyrate 4-hydroxybutyrate copolyester (P34HB), etc., which have their own advantages in practical applications.

PHA product performance can also be compared with other degradable materials
Complementary to enhance material properties

Product brand
PB3000G | PB3420G | |
Product characteristics | · Good rigidity · Good barrier · Good heat resistance | ·The strength is adjustable · The toughness is adjustable ·Good heat resistance · Excellent barrier property |
Application recommendation | · Extrusion molding · 3D printing molding · Injection molding · thermoforming · Casting forming · Blow molding · Blister molding · Suitable for blending modification of PLA, PBAT, PBS etc | |
Comparison of properties of Phangel PHA and other polymer materials
property | Phangel PHA | PLA | PBAT | PBS | |
PB3000G | PB3420G | ||||
Glass transition temperature,℃ | 0~5 | -5~-3 | 60 | -30 | -32 |
Fusing point,℃ | 175 | 170 | 166 | 115 | 114 |
Fusion finger,g/10min | 3~15 | 3~12 | 10~25 | 1~8 | 4~30 |
density,g/cm3 | 1.25 | 1.23 | 1.26 | 1.23 | 1.26 |
Tensile strength,Mpa | 30~35 | 20~25 | 50 | 21 | 30 |
Nominal strain at elongation fracture,% | 2~5 | 5~10 | / | / | / |
Notched impact strength of cantilever beam,KJ/m² | 1~2 | 2~4 | 1 | 14 | 5 |
Thermal deformation temperature,℃ | 120~130 | 85~95 | 56 | 50 | 89 |